모형선택이라는 개념을 잘 모르시는 분은 제 블로그 글 연구모형 만들기를 참조하시기 바랍니다.
구조방정식에서도 모형선택 개념이 가끔 나옵니다. 가설 검증과 함께 여기에 대해서 간단히 설명하겠습니다.
일단 구조방정식의 가장 간단한 모형을 이야기 해보죠.
[그림 1] M1

논문에서 나오는 가설은 대립가설 H1을 말합니다. 정확하게는 귀무가설 H0과 대립가설 H1을 같이 써야 합니다. 좋지 않은 관행이죠.
흔히 나오는 가설은 회귀분석 Y=b0+b1*X 에서
H0: b1=0,
H1: b1=0이 아니다
여기서 가설 H1이 채택이 되면 독립변수 X는 Y에 영향을 미친다고 해석합니다. 이걸 모형 선택의 문제로 보면
H0: 간단한 모형 즉 Y=b0
H1: 복잡한 모형 즉 Y=b0+b1*X
이렇게 됩니다. 즉 가설 H1:b1이 0이 아니다라는 것이 채택이 되면 우리가 가지고 있는 데이터는 복잡한 모형이 더 타당하다는 이야기가 됩니다. 앞에서도 이야기했지만 내포 모형에서는 모형이 복잡해질수록 적합도는 항상 올라가게 되어 있습니다. 그래서 적합도가 좋다고 항상 복잡한 모형을 선택하는 것이 아닙니다. 적합도가 좋아져도 상당히 많이 좋아져야 복잡한 모형을 택하게 됩니다.
그럼 [그림 1]의 구조방정식에서 간단모형과 복잡모형을 생각해보죠.
하여간 다음의 세 가지 경우를 생각해보죠.
1) H0: a=0, H1:a는 0이 아니다.
2) H0: b=0, H1: b는 0이 아니다.
3) H0: c=0, H1: c는 0이 아니다.
위 3가지 가설 검증에 해당하는 간단모형과 복잡모형은 어떻게 될까요. 복잡모형은 위의 그림에 나왔으니까 생략하고 간단모형만 어떻게 되는지 보시면 됩니다. 각 귀무가설 H0에 해당하는 화살표를 삭제하시면 됩니다.
1)의 경우 단순모형 M0
[그림 2] M0

즉, 흔히 이야기하는 완전매개모형이 됩니다. 이 경우 독립변수 X가 종속변수 Y에 직접적으로 영향을 미치지 못하고 항상 매개변수 M을 걸쳐야 종속변수 Y에 영향을 미칩니다.
이 경우 2개의 회귀분석 A ==> B, B ==> C을 동시에 돌린 것으로 보시면 됩니다.
2)의 경우
[그림 3] M0

즉, 이 경우 단순모형은 독립변수가 2개인 다중회귀분석을 돌린 것입니다. 즉
Y=b0+a*A+c*B
이런 회귀분석 모형이 됩니다.
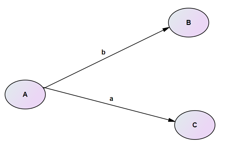
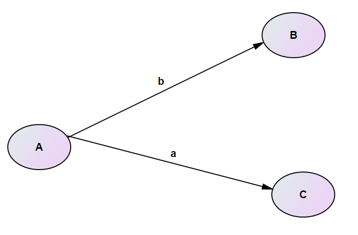
3)의 경우
[그림 4] M0

위 그림은 하나로 그렸지만 사실 이 모형은 독립변수가 하나인 단순회귀분석을 2개 될린 것입니다. 하나는 종속변수가 B인 회귀분석, 또 하나는 종속변수가 C 인 회귀분석을 각각 독립적으로 돌린 것입니다.
물론 AMOS에서 이 그림을 그린 다음 돌리면 한번에 돌아갑니다. 그러나 이런 모형을 AMOS에서 돌리면 논문 그냥 퇴짜 맞습니다. SPSS에서 단순회귀분석을 2번 돌려야 합니다. 회귀분석에서 추정하는 방법과 AMOS에서 추정하는 방법이 완전히 다릅니다. 구조방정식에서는 적률 추정(moment estimation)이라 해서 매우 단순한 방법으로 합니다. 즉 공변량 행렬을 구해서 계수들을 추정합니다. 이론적으로 아직 그렇게 밖에 안되기 때문에 어쩔 수가 없습니다. 따라서 가설 검증도 그렇게 정확할 수가 없습니다.
그럼 실제 AMOS에서 어떻게 모형선택을 할 수가 있을까요.
위 [그림 1]의 구조방정식 그림을 그린 다음 회귀계수 a, b, c 이름을 지정하시고요.
그럼 AMOS 메뉴에서

Default model을 클릭한 다음 새 모형을 하나 더 만듭니다. 모형 이름은 뭐로 하든 관계가 없습니다.
그럼 다음 1)의 경우 a=0,
2)의 경우 b=0,
3)의 경우 c=0이라는 제한을 주면 됩니다.
이렇게 제한, 즉, 귀무가설 H0을 준 모형이 바로 단순모형이 됩니다. 그래서 제한 모형이 바로 단순모형이 됩니다. 제한은 Default model에서 해도 되고 새로 추가된 모형에서 제한을 둬도 됩니다. 아무런 관계가 없습니다.
그럼 결과물에 모형 비교라는 부분이 있습니다. 거기에서 X2 검증을 보시면 됩니다.
그래서 가설
귀무가설 H0: 단순모형 M0
대립가설 H1: 복잡모형 M1, 즉 부분매개모형
이 됩니다. 그래서 X2 검증에서 유의적으로 나오면 부분매개모형을 선택하게 되고 유의하지 않으면 단순모형을 선택하게 됩니다.
X2 검증에서 나오는 p 값은 부분매개모형에서 나오는 t 검증이 p 값과 비슷하게 나옵니다. 똑같이 나오지는 않습니다. 추정이나 가설검증 방법이 완전히 다르기 때문에 같을 수는 없습니다. 그러나 목적이 비슷하기 때문에 그렇게 많이 차이는 나지 않습니다.
그럼 적합도에서 나오는 X2(CMIN) 검증은 뭘 말하는 것일까요?
이건
귀무가설 H0: 단순모형. 이 경우 부분매개모형. 여러분이 그린 연구모형이 됩니다.
대립가설 H1: 가장 복잡한 모형, 이 경우 포화모형(saturated model)이라고 하는데 적합도가 1인 모형이라 생각하시면 됩니다.
즉, AMOS에서 여러분이 적합도를 개선하기 위해 양방향 화살을 많이 그리는데 양방향 화살이 가능한 경우 모두 다 그린 모형이라 생각하시면 됩니다.
이 경우 거의 100% 가설 검증이 채택됩니다. 즉 H1: 포화모형을 선택하라는 결과가 나옵니다. 즉 지금 모형보다 더 복잡한 모형을 만들어라고 합니다.
그래서 이 가설 검증은 사실상 아무런 의미가 없습니다. 그래서 사람들이 많이 쓰는 것이 X2/df 이고 이게 3.0보다 작으면 이 현재 모형은 양호하다고 판단합니다.
'구조방정식.매개모형,SEM,AMOS' 카테고리의 다른 글
| 잠재성장모형 모형선택 (0) | 2022.09.28 |
|---|---|
| 측정동일성 모형선택 (1) | 2022.09.19 |
| 구조방정식 조절효과 모형선택1 (0) | 2022.09.10 |
| 모델7:조절된 매개지수 (0) | 2022.06.21 |
| 프로세스 매크로 조절된 매개효과 (0) | 2022.06.20 |